随机量子态指的是在整个希尔伯特空间中均匀分布的量子态,由于希尔伯特空间的维数随着比特数指数增长,在实验上制备和观测多比特的随机量子态是十分困难的,谷歌团队就是利用随机量子态的制备和采样这一经典计算困难的问题来实现量子霸权的。同时,随机态在黑洞物理等领域内也引起了广泛兴趣。最近有一些理论工作预测,将随机态划分为系统和环境两部分后,改变环境和系统的相对大小,系统内会出现纠缠相变。但是这种纠缠相变需要用到纠缠负度(negativity)来刻画,而对多比特纠缠系统,这一实验测量一般是困难的。同时考虑到多比特随机量子态制备的挑战性,这种纠缠相变一直没有在实验上被人们所实现和观测。
最近,中国科学院物理研究所/北京凝聚态物理国家研究中心Q03组博士生刘桐,在范桁研究员、许凯副研究员指导下、与SC5组郑东宁研究员,相忠诚副主任工程师及加州大学圣塔芭芭拉分校的博士后刘尚等通力合作,在一个包含20比特的全连通超导量子芯片上首次观测了这种相变,结果已发表于,1971(2023)。

图一.全连通芯片与实验上的脉冲序列。
团队通过基于全连通芯片上特有的全局纠缠逻辑门,以及随机单比特逻辑门所构建的伪随机线路来实现随机量子态的制备,由于这种全局纠缠门具有很强的纠缠能力,实验上通过较浅的伪随机线路就可以制备出包含最多15个比特的随机态,通过6比特的量子态层析获得其密度矩阵,实验上就得到了待研究系统不同组分间的纠缠负度谱和对数负度。

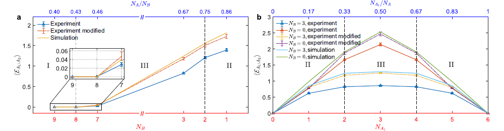
二.纠缠负度谱的分布。
实验数据表明纠缠负度谱的分布会随着环境和系统的大小而变化,实现了从无纠缠相,到最大纠缠相和纠缠饱和相三种不同的纠缠特征,从而实现了纠缠相变的观测。其中最大纠缠相和纠缠饱和相也可以利用对数负度的行为来区分,在特定的环境大小下,系统间的纠缠满足Page提出的体积律即是最大纠缠相,而在子系统不同划分下,对数负度达到一定值后饱和则为纠缠饱和相。

图三.对数负度与系统和环境间的关系。
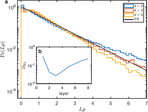
同时,为了确认所用线路的随机性,实验采样了多个随机线路的字符串采样输出,并与随机态所应该满足的Porter-Thomas分布进行对比,确认实验中所实现的线路层数符合随机态制备要求。

图四.量子线路采样得到字符串的概率分布。
此项工作以“伪随机混态纠缠相变观测”为题于近期发表,该工作得到国家自然科学基金委、科技部、北京市自然科学基金和中科院先导专项等的资助。
参考文献:
,,,,,,,,,1971(2023)
编辑:Tammy





