一,PID控制
在工业控制中,PID控制(比例-积分-微分控制)得到了广泛的应用,这是因为PID控制具有以下优点:
01
不需要知道被控对象的数学模型。实际上大多数工业对象准确的数学模型是无法获得的,对于这一类系统,使用PID控制可以得到比较满意的效果。据日本统计,目前PID及变型PID约占总控制回路数的90%左右。
02
PID控制器具有典型的结构,程序设计简单,参数调整方便。
03
有较强的灵活性和适应性,根据被控对象的具体情况,可以采用各种PID控制的变种和改进的控制方式,如PI、PD、带死区的PID、积分分离式PID、变速积分PID等。随着智能控制技术的发展,PID控制与模糊控制、神经网络控制等现代控制方法相结合,可以实现PID控制器的参数自整定,使PID控制器具有经久不衰的生命力。
二,PLC实现PID控制的方法
如图所示为采用PLC对模拟量实行PID控制的系统结构框图。用PLC对模拟量进行PID控制时,可以采用以下几种方法:

如图用PLC实现模拟量PID控制的系统结构框图
使用PID过程控制模块。这种模块的PID控制程序是PLC生产厂家设计的,并存放在模块中,用户在使用时只需要设置一些参数,使用起来非常方便,一块模块可以控制几路甚至几十路闭环回路。但是这种模块的价格昂贵,一般在大型控制系统中使用。如三菱的A系列、Q系列PLC的PID控制模块。
三,FX2N的PID指令

如图PID指令
PID指令是用来调用PID运算程序,在PID运算开始之前,应使用MOV指令将参数(见表6-3)设定值预先写入对应的数据寄存器中。如果使用有断电保持功能的数据寄存器,不需要重复写入。如果目标操作数[D]有断电保持功能,应使用初始化脉冲M8002的常开触点将其复位。

表6-3PID控制参数及设定
ID指令可以同时多次使用,但是用于运算的[S3]、[D]的数据寄存器元件号不能重复。
PID指令可以在定时中断、子程序、步进指令和转移指令内使用,但是应将[S3]+7清零(采用脉冲执行的MOV指令)之后才能使用。
控制参数的设定和PID运算中的数据出现错误时,“运算错误”标志M8067为ON,错误代码存放在D8067中。
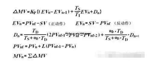
PID控制是根据“动作方向”([S3]+1)的设定内容,进行正作用或反作用的PID运算。PID运算公式如下:

四,PID参数的整定
PID控制器有4个主要的参数Kp、TI、TD和TS需整定,无论哪一个参数选择得不合适都会影响控制效果。在整定参数时应把握住PID参数与系统动态、静态性能之间的关系。
在P(比例)、I(积分)、D(微分)这三种控制作用中,比例部分与误差信号在时间上是一致的,只要误差一出现,比例部分就能及时地产生与误差成正比的调节作用,具有调节及时的特点。比例系数Kp越大,比例调节作用越强,系统的稳态精度越高;但是对于大多数系统,Kp过大会使系统的输出量振荡加剧,稳定性降低。
积分作用与当前误差的大小和误差的历史情况都有关系,只要误差不为零,控制器的输出就会因积分作用而不断变化,一直要到误差消失,系统处于稳定状态时,积分部分才不再变化。因此,积分部分可以消除稳态误差,提高控制精度,但是积分作用的动作缓慢,可能给系统的动态稳定性带来不良影响。积分时间常数TI增大时,积分作用减弱,系统的动态性能(稳定性)可能有所改善,但是消除稳态误差的速度减慢。
微分部分是根据误差变化的速度,提前给出较大的调节作用。微分部分反映了系统变化的趋势,它较比例调节更为及时,所以微分部分具有超前和预测的特点。微分时间常数TD增大时,超调量减小,动态性能得到改善,但是抑制高频干扰的能力下降。
选取采样周期TS时,应使它远远小于系统阶跃响应的纯滞后时间或上升时间。为使采样值能及时反映模拟量的变化,TS越小越好。但是TS太小会增加CPU的运算工作量,相邻两次采样的差值几乎没有什么变化,所以也不宜将TS取得过小。





